如何理解高增益和高速度是矛盾的?(2)(图文教)
整理:lxxxxxxxx9
时间:2026-01-05
阅读:5
如何理解高增益和高速度是矛盾的?(图文教程):经常听说要想获得较高的增益,则速度肯定替补上去,要想得到高速度,则增益一定不会很高,为什么呢?如何理解呢?这里从时域分析中理解
工具/原料
PC
电路图
操作方法
1
2
3
4
5
6
7
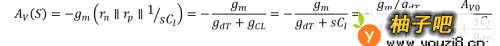
我们以简单的CS放大器为例,来说明高增益和高速度之间的一对矛盾
2该电路的增益为下述表达式
3现在我们假定输入信号为单位阶跃信号u(t)
4输入信号的拉氏变换为
5所以输出信号的拉式变换为
6输出信号的时域响应为
7要想时域响应的速度快,则希望P1越大越好,但是P1越大的话,则要求输出的电阻越小越好,但是这样的话,增益就会降低,这就是高增益和高速度的矛盾所在。

同类经验分享
- 谷歌拼音输入法怎么敲出特殊符号11-26
- 狗狗耳朵清洁护理有什么方法?11-26
- 钉钉如何设置允许非好友查看我的企业认证信息?11-19
- 如何更好地处理婆媳矛盾11-19
- 萌妆的打造方法11-19
- 家具设计之客厅电视柜家具手绘举例11-17
- 汽车美容知识全攻略11-26
- 小孩很不听话怎么办?11-17
- 微信6.6怎么关闭搜一搜07-27
- 怎么做美人鱼手工制作11-26
站内热点
- 谷歌拼音输入法怎么敲出特殊符号11-26
- 狗狗耳朵清洁护理有什么方法?11-26
- 钉钉如何设置允许非好友查看我的企业认证信息?11-19
- 如何更好地处理婆媳矛盾11-19
- 萌妆的打造方法11-19
- 家具设计之客厅电视柜家具手绘举例11-17
- 汽车美容知识全攻略11-26
- 小孩很不听话怎么办?11-17
- 微信6.6怎么关闭搜一搜07-27
- 怎么做美人鱼手工制作11-26
近期更新
- 与男友兴趣爱好不一样怎么办01-05
- 分享职场7个小技巧,教你怎样提高职场效率01-05
- 【土豆焖黄鱼】简单做法01-05
- 职场小白如何克服焦虑01-05
- 口气臭有哪些原因01-05
- 当心情很烦躁的时候怎么办01-05
- 在家很无聊可以做什么?01-05
- 烤羊肉串串做法01-05
- 婚姻小秘书:[49]要珍惜夫妻的缘分01-05
- 家长如何对待老师罚抄01-05
- 订单排队中...怎么办,应对最新版1230601-05
- 简单的茄子辣椒怎么炒好吃01-05